WLASSH®
2011-2025
Winchester Lever Action Shooters Society Holland
Hardheid meten van loden kogels
07-12-2015
Zelf kogels gieten en de hardheid meten.
Veel schutters vinden het nog steeds erg leuk om de eigen loden kogels te gieten. En dat is ook leuk, we doen het immers zelf ook.
Maar dit werkje vereist wel enige kennis van zaken. Zomaar lood en tin in de pot gooien en smelten is er niet bij. U moet weten wat u doet en exact de juiste hardheid zien te verkrijgen voor uw doel. Of het nu zwartkruit of nitro ladingen zijn die gebruikt worden als drijflading, de hardheid van de kogel moet afgestemd zijn op het gebruik. In ons geval het sportschieten vanuit een wapen met een bepaald kaliber op een bepaalde afstand.
Er zijn heel veel boekjes verschenen met allerlei tips van hoe het wel en hoe het niet moet aangaande het gieten, dat gaan we hier niet herhalen.
Wat we wel doen is het uitleggen hoe we de hardheid simpel kunnen meten met een stukje gereedschap. Want uiteindelijk is dit het belangrijkste van het hele gieten, de hardheid moet kloppen.
De WLASSH heeft een oplossing bedacht om dit zelf snel te meten.
Waarom dan, die spullen zijn toch in de handel?
Die spullen zijn wel in de handel verkrijgbaar maar vaak kunnen ze niet een hardheid aangeven van HB5 en dat is zacht lood. En juist dat lood vormt ons basismateriaal voor de uiteindelijke kogellegering. We willen dus een meter die vanaf HB5 aangeeft en verder.
De bekende merken die op de markt verkrijgbaar zijn kunnen vaak pas vanaf HB7-8 meten en dat vinden we niet prettig. We willen de laagste waarde (juist die van het basismateriaal) zeker kunnen meten.
Werking hardheidsmeter volgens Brinell.
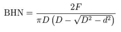
Een hardheidsmeter bestaat uit een hardstalen bol welke onder een zekere kracht in een materiaal gedrukt wordt. Dit laat een afdruk achter in het materiaal. De diameter van deze afdruk wordt opgemeten en met een tabel kan men dan de HB waarde aflezen. Zo werkt het dus, niet erg moeilijk. In werkelijkheid wordt een formule gebruikt om dit te bereiken. Deze is hieronder weergegeven.

De formule die gebruikt wordt. De F staat voor Force en geeft de drukkracht weer in kg. De D staat voor de diameter in mm van de hardstalen bol. En De d staat voor de indrukdiameter in mm in het materiaal. Het spreekt voor zich dat de waarden F en D vaste waarden zijn en dat alleen de diameter van de indrukking (d) van belang is om straks in te vullen in de calculator.
Wat heeft de WLASSH gedaan?
De WLASSH heeft gekozen voor een eigen ontwerp, een 10 mm stalen bol in combinatie met een drukkracht van exact 50 kg.
De stalen bol is makkelijk te verkrijgen, dat is een standaard handelsproduct. De drukkracht hebben we kunnen bereiken via een speciale veer werkend op een bepaalde afstand. Dat samen verpakt in een stalen omhulsel. Een omhulsel met exact dezelfde schroefdraad als die we al jaren kennen van de matrijzen. He, dan kan dat ding dus in de RCBS pers gedraaid worden? Precies, dat is juist wat we met dit ontwerp wilden bereiken. Er is 7/8-14 UNF schroefdraad op gesneden dus draaien we zo de hardheidsmeter in de Rock Chucker pers, plaatsen een kogel op de hulsvoet en gaan de hardheid meten. We vertellen zo hoe we dit dienen te doen maar eerst wat foto's van de meter in onderdelen. Het begon allemaal met een idee welke later overgezet werd in een 3D tekening van het model. We gebruiken het tekenprogramma Inventor.

De 3D tekening. In Inventor kan je kiezen uit welk materiaal je het onderdeel wil hebben. Ook is er enige simulatie voorhanden van de onderdelen in het geheel. Een perfect tekenprogramma grotendeels overeenkomend met het bekende Solid Works.

De fysieke onderdelen.
De losse onderdelen van de hardheidsmeter, bijna alles op CNC- apparatuur gedraaid en van RVS.
De veer is natuurlijk anders bewerkt, dat is een speciaal gewikkeld model welke exact 50 kg over 10 mm verplaatsing geeft. Zijn werkafstand is 11 mm dus is dat prima stelbaar. De hardstalen bol is al in de houder geperst middels een perspassing. In de pers (en dan nemen we de Rock Chucker weer als voorbeeld) is het wegdrukken van 50 kg geen enkel probleem. Er hoeven geen rare gewichten en hefbomen gebruikt te worden zoals vaak te zien is op internet. Onze 50 kg proberen in te drukken is een makkie met deze pers. Dan besef je pas goed hoe de overbrengingsverhouding is en de krachten die erop werken, dat is niet gering. Hieronder de matrijs als geheel weergegeven en gereed voor gebruik.

De hardheidsmeter in elkaar gezet en afgesteld.
Met afstellen bedoelen we dat de plunjer met stalen bol aan de onderzijde exact 10 mm uit moet steken t.o.v. de houder.
Vooraf wordt dit natuurlijk gedaan en met borgvloeistof geborgd. Er zal niets verder kunnen gebeuren en de meter is tot in lengte van jaren te gebruiken. Misschien na lange tijd een keer in de wapenolie wrijven, meer is niet nodig.
Aan de slag in de Rock Chucker.
Draai de matrijs in de schroefdraad van de Rock Chucker pers (een ander merk met mag natuurlijk ook). Plaats een rond plaatje (of een munt) op de spindel. Plaats op dit plaatje de te meten kogel. Draai de matrijs verder in de schroefdraad totdat de plunjer geheel aan de onderzijde zichtbaar is. Hevel de hefboom van de pers en druk de spindel omhoog totdat er bijna contact is tussen kogel en bol. Centreer de kogel en druk de spindel verder aan. Druk net zover totdat de onderzijde van de plunjer van de hardheidsmatrijs gelijk komt met de onderzijde van de houder, zoals aangegeven is in de afbeelding hierboven. Er is nu 10 mm verplaatst en er heerst dus een 50 kg drukkracht op de kogel via de hardstalen bol. Deze positie zeker 5 seconde exact zo houden. Daarna ontspannen en de kogel uitnemen. We hebben nu een keurige afdruk in het lood staan welke opgemeten kan worden. En met opmeten bedoelen we de diameter van de afdruk in het lood.

De oude vertrouwde Rock Chucker wordt ook overal voor ingezet. Nu dient hij als basis voor de hardheidsmeting.
De matrijs in ingedraaid, kop staat op het plaatje en er is contact met de hardstalen bol. De meting kan starten.

De hevel van de Rock Chucker is in beweging en stuwt de spindel met daarop de geplaatste semi wadcutter kogelkop omhoog. De kogel gaat op zijn beurt weer de houder met stalen bol indrukken. Dat is nu bijna zover, er is nog een klein randje zichtbaar dan is de onderzijde van de houder met daarin de stalen bol gelijk met die van de matrijs (weet u nog, 10 mm verplaatsing om 50 kg te bereiken). Is dit eenmaal bereikt dan zo 5-10 seconden vasthouden. Daarna lossen en meten.

Na deze handeling is het natuurlijk zaak om de verkregen indrukking in de kogel op te meten en in de tabel in te tikken. Links hebben we een semi wadcutter .45 kogel met een kleine indrukking en rechts zien we een speciale .45 rondkop kogel welke een grote indrukking heeft. Ook zien we duidelijk dat de legering verschilt door de kleur van de kogels. Links glimt meer en rechts is dof. Dat klopt helemaal want de gemeten indrukking rechts wordt aangegeven als HB5. Een zacht loden kogel voor lage snelheden.

Waar meten we mee en wat is er meer nodig?
Om de indruk goed te kunnen meten is een sterke vergroting een prettig hulpmiddel. Dan pas kan goed gemeten worden met de schuifmaat, een digitale schuifmaat wel te verstaan. Spoedig worden de benodigdheden zichtbaar op de site. Foto's worden het beste gemaakt bij daglicht en het is even wachten op meer tijd en het daglicht.

Twee attributen die we nodig hebben om de indrukking van de hardstalen bol te kunnen meten. Links de digitale schuifmaat welke in zowel inch als mm kan aangeven. Een must voor de herlader en geschikt voor vele toepassingen aangaande kogels. rechts een houder met daarin geklemd een sterk vergrootglas. Deze maakt het zicht op de indrukking helder en meten gemakkelijker. Een steuntje is handig, je hebt immers beide handen nodig om dit te doen.

Nog een paar belangrijke tips.
Neem als voorbeeld eens een kop van de fabrikant en meet deze volgens eerder opgegeven methode en leg de waarde vast. Doe nu nog eens de proef met een stukje lood waarvan u zeker weet dat het zuiver daklood is. Doe nu ook de meting en constateer dat de waarde dicht in de buurt van de HB5 moet liggen.
Wat ik hiermee wil duidelijk maken is dat men referentieblokjes moet maken. Deze apart in een doosje wegleggen want ze komen altijd van pas bij een controle.
Een ander punt waarop men moet letten; een dun plakje lood onder de meter leggen is niet verstandig. U begrijpt het al, de bol zal het lood deels indrukken maar ook wegdrukken. De indruk is veel te groot want men geeft gelegenheid tot wegdrukken van het materiaal. Dus als er gemeten wordt doe dat dan met een materiaal wat minimaal 6 tot 8 mm dik is. Een rechtopstaande kogel voldoet altijd aan deze waarde. Men voorkomt het wegdrukken van het lood en de meting is zuiver. pas dan kan men de indrukking vergroten en opmeten.

Afbeelding van de Brinell hardheid calculator van Robert de Jager. De groene vlakken invullen, op enter drukken en de waarde wordt zichtbaar. Downloaden van de calculator is mogelijk, deze staat onderaan het document. Ook handig is de omrekening van inch naar mm en omgekeerd. Simpel werkende calculator, behoorlijk nauwkeurig en veel beter dan zomaar lood in de pot smijten, kogels gieten en ermee gaan schieten zonder de hardheid te kennen. Een bron van veel slechte scores, dat is iets wat zeker is.
Loodlegering
Lood kan men bijna overal verkrijgen maar wat is het voor legering?
Het beste neemt men als basis gewoon zacht lood en worden er andere metalen toegevoegd om de hardheid iets te verhogen. Voor normaal gebruik is een tin/lood mengsel in de juiste verhouding gewoon een prima legering. We gaan er binnenkort meer over vertellen, dus gaarne de site in de gaten houden.
Ik zou ook wel zo'n matrijs willen hebben, kan dat?
natuurlijk kan dat, normaal gesproken hebben we er altijd wat in voorraad liggen. Voor € 53,50 heeft u er eentje inclusief verzending met track and trace barcode. Is er interesse, reageer via het reactieformulier of ons nieuwe e-mail adres contact@wlassh.nl en we nemen contact met u op.
24-07-2017
We hebben weer hardheidsmeters op voorraad!